另外 , 我前面说了那么多 一阶光学实验 , 难道你们就不想看看 二阶光学实验是什么样的? 迈克尔逊-莫雷实验就是一个设计得极为漂亮的 二阶光学实验 。
10-为什么是二阶?
这里我稍微解释下为什么 迈克尔逊-莫雷实验是 二阶的 。
部分曳引假说认为以太可以被透明介质部分拖曳 , 在真空这种没有介质的地方就应该是 静止的 。 那么 , 地球在静止以太中穿梭 , 我们要如何测量这个速度呢?
想法很简单:如果地球在以太中穿梭 , 我们就应该能感觉到 以太风 。我往有风的地方发射一束光 , 没风的方向发射一束光 , 对比一下就能知道风速了 , 也就是地球相对以太的运动速度 。
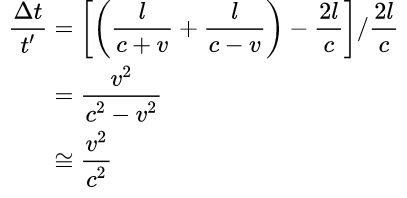
假设 以太相对地球以 速度v向右运动 , 我 向右发射一束光 , 光速就是 c+v;反射回来 向左运动时 , 速度就变成了 c-v 。
与此同时 , 如果在 没有以太风的地方发射一束光 , 它的速度就一直都是 c 。
整个过程就像在河里做往返划船比赛:一组先顺流而下 , 再逆流而上 , 另一组在平静的河面上往返 , 看哪一组更快 。 这里 河水就像是 以太 , 在水面运动的船就好比在以太中运动的光 。
我们假设单程距离为 l , 那么光 顺着以太运动的时间为 l/c+v ,逆着以太运动的时间为 l/c-v , 总时间 t=(l/c+v)+ (l/c-v) 。
在 没有以太风的地方 , 光往返的速度都是 c , 总距离为 2l , 所以总时间 t’=2l/c 。
这两种情况的时间差我们记为 Δt=t-t’ , 它占 整个传播时间的 比值就可以这样算:
文章图片
可以看到 , 当地球的公转速度 v远小于光速 c时 , 这个比值就近似等于 v2/c2 。 所以 , 这是一个不折不扣的 v2/c2二阶光学实验 。
这个思路非常简单 , 它难就难在如何探测这么微小的差别 ,迈克尔逊厉害就厉害在发明了一种精度如此之高的 干涉仪 。
迈克尔逊-莫雷实验的原理跟它基本相同 , 唯一的区别就是我们找不到没有以太风的地方 。
所以 ,迈克尔逊和 莫雷让一束光与以太风 平行 , 另一束跟它 垂直 , 垂直的这束光要考虑与 以太风速度的 叠加 。
文章图片
他们这样做了一次 , 把仪器 旋转90度之后又做了一次 。 按理来说 , 旋转之后 平行和垂直互换 , 光线运动的时间也会改变 , 这样产生的 干涉条纹肯定也跟原来的不一样 。
但实验结果又让人大跌眼镜: 旋转90度以后 , 干涉条纹没有发生任何变化 。 就像压根就没有以太风 , 平行和垂直没有任何区别似的 。
也就是说 , 我们认为光在 平行和 垂直以太风方向上的运动时间应该不一样 , 而且还算出了这个 时间差大约占总时间的 亿分之一 。 但是 ,迈克尔逊-莫雷实验告诉你: 没有的事 , 不管光朝哪个方向跑 , 它们的传播时间好像都一样 。 根本就没有什么以太风 , 顺风、逆风、垂直风都是没边的事!
科学家们一下子就懵了 。
11-实验的结论
在这里 , 我希望大家忘掉一切关于 迈克尔逊-莫雷实验和 以太的先入为主的观念 , 忘掉你在书里、文章里或在其它任何渠道看到的结论 。 我们就站在这个 历史节点 , 面对这样一个实验结果 , 你觉得我们可以作出哪些 合理的判断?
首先 , 我们能从这个实验结果得出“ 以太不存在”这么大的一个结论么?
不能!因为完全没道理啊 。
你想 , 我们现在是在验证 部分曳引假说在真空中的情况 。菲涅尔认为以太在真空中是 静止的 , 所以 , 我们在静止以太中穿梭时会感觉到 以太风 , 然后才有顺以太、逆以太、静止以太在运动 时间上的不同 。
特别声明:本站内容均来自网友提供或互联网,仅供参考,请勿用于商业和其他非法用途。如果侵犯了您的权益请与我们联系,我们将在24小时内删除。
