A:雅思全球的评分标准都是一样的,BC和idp的区别在于他们的主办方不同,两者的考试题型题目都是和雅思正常的题型题目一致,评分标准也无异 。
Q:BC和idp的考点会一样吗?什么时候才知道考试地点?
A:无论BC还是idp,官网上所放出的考试地址并不一定是你的最终考场地址,一切都是要看你的邮件中收到的准考证伤的信息 。
Q:**地报BC好还是idp好?
A:这要多请教当地考过的同学或者查看攻略,虽然两个机构的考试区别不大,但是可能会出现,某地区某机构考生人数较少,考试氛围比较好的情况 。
Q:为什么我考过一场BC和idp的题目不一样?
A:一般情况下,同样日期的考题一样,不排除特殊情况下有一方临时启用备用题目,尤其近来换题比较频繁,所以出现这种情况要有心理准备 。
最后提醒:对于大多数选择在国内参加雅思考试的童鞋来说,我们所说的雅思爸爸指的是British Council 。
看到这里,相信大家应该清楚自己适合的雅思考试类型了吧,也应该对于普雅和UKVI的考试类型以及流程都有了基本的了解,雅思准备,选对类型是第一步,对于考雅思的小伙伴,小编为大家总结了2020年雅思的考试时间,赶快收藏吧!
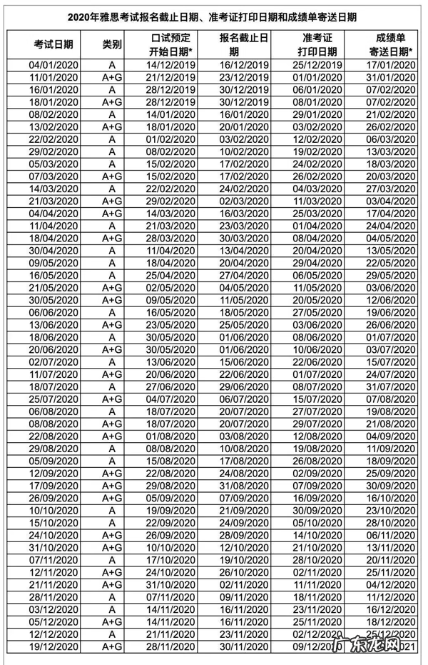
2020年全年雅思考试
报名截止日期、准考证打印日期和成绩单寄送日期

文章插图
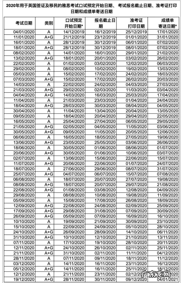
2020年用于英国签证及移民的雅思考试
报名截止日期、准考证打印日期和成绩单寄送日期

文章插图
【雅思g类考试 雅思g类培训类】
- 南京教师考试网官网 南京教师教育网
- 公务员考试辅导资料 公务员考试辅导书籍
- 抖音变现任务中心奖励类型有哪些?怎么赚钱的?
- 一个网店可以做两个类目吗?有哪些影响?
- 会计账户分类思维导图 会计账户和会计科目的区别和联系
- abc是什么意思梗 abc是什么意思
- 环球北美考试院怎么样 北京环球北美考试院
- 网页横版格斗游戏 横版格斗类网游
- 2013年职称英语考试时间 2013年职称英语考试时间
- 风水池什么形状好图片 风水池什么形状好
特别声明:本站内容均来自网友提供或互联网,仅供参考,请勿用于商业和其他非法用途。如果侵犯了您的权益请与我们联系,我们将在24小时内删除。
