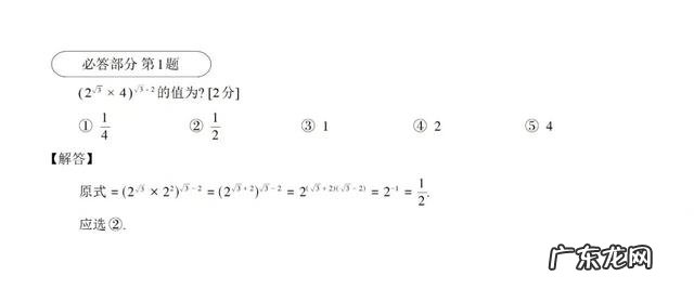
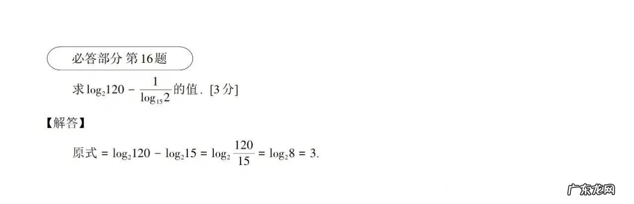
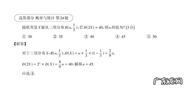
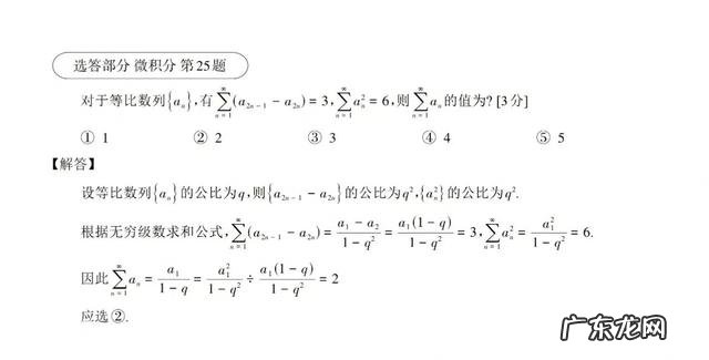
2022学年度韩国高考数学试题及详细解析

文章插图

文章插图

文章插图

文章插图

文章插图

文章插图

文章插图

文章插图

文章插图

文章插图

文章插图

文章插图

文章插图

文章插图

文章插图

文章插图

文章插图

文章插图

文章插图

文章插图

文章插图

文章插图

文章插图

文章插图

文章插图

文章插图

文章插图

文章插图

文章插图

文章插图

文章插图

文章插图
【韩国高考数学卷难度比中国如何 韩国今天高考数学第一道题】

文章插图
考试时间:100分钟,满分100分
- 川版泡菜炒五花肉,韩国泡菜炒五花肉做法?
- 如何提高高中数学成绩
- 2023阳光高考网官方网 阳光高考网是干嘛的
- 重庆新高考录取位次分专业统计-本科批-14.1(物理类-工学 重庆新增本土97 1246)
- 专业志愿是什么意思
- 如何上好小学六年级数学复习课
- 能看懂吗 北大韦神聆听华人数学家张益唐讲座
- 如何让小学数学复习课更有效
- 如何求数学中的最大值和最小值
- 中国接力被判犯规无成绩!韩国队成大赢家 林孝埈再次退赛
特别声明:本站内容均来自网友提供或互联网,仅供参考,请勿用于商业和其他非法用途。如果侵犯了您的权益请与我们联系,我们将在24小时内删除。
