现实世界里是不可能的 , 因为有空气阻力 , 杠杆形变 , 内应力消耗等 , 就蚂蚁那体格那点力气当它刚给杠杆加力时 , 杠杆变发生形变 , 这点力完全被消耗了 。也就是说蚂蚁施加的力还没等传入到支点 , 就在杠杆的起点没消耗光了 。
假设是一个理想的世界 , 没有空气阻力 , 杠杆是完全刚性的 , 不会产生任何变形 。就像初中物理那样 , 就考虑杠杆原理计算 , 其他完全不考虑 , 那需要多长的杠杆 。

文章插图
杠杆公式是

文章插图
式中:F1—阻力 , l1—阻力臂 , F2—动力 , l2—动力臂
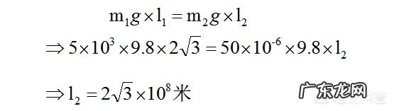
首先理想状态下:假设支点高2米 , 杠杆与地面成30° , 则l1=2√3米 , 卡车总重5吨 , 蚂蚁重50mg , 由于蚂蚁悬空 , 无法体现它可以举起自己4、500倍重量的本事 , 所以蚂蚁提供的动力只能通过自己的重量 , 所以带入公式中

文章插图
杠杆是斜边 , 其长为

文章插图
地球到月球距离38.4万公里 , 差不多在地球放个支点 , 蚂蚁在月球上撬它 。
民间有一句俗语叫:秤砣虽小压千斤 。几千年前我们的祖先就懂得扛杆原理 。由此也发明了中国特有的杆秤 。正是有了秤 , 极大的方便了古代商贸交易活动 。
对于阿基米德所讲“给我一个支点 , 和一根足够长的扛杆 , 我就可以撬动地球” 。这不过是阿基米德对扛杆原理的表面解释 , 纯属假想而已 。是的 , 扛杆可以省力 , 能省很大的力 。即是满足了阿基米德的假设条件 , 他能撬动地球吗?否!连门都没有 , 因为他在那个扛杆前 , 就如一点小小的尘埃 , 对扛杆来说就纹丝不动 。即然扛杆连动一下都不可能 , 何来有撬动地球一说 。那么所谓蚂蚁撬动卡车的事儿也只是不过说说罢了 。
从杠杆作用的物理原理上来说可行 。
问题是支点设那 , 离地球最近的大星体数月亮 , 支点若设在月亮上 , 那这杠杆得多长 , 杠杆怕要延伸到无数亿光年外星系了 。
月亮直径是地球1/4 , 质量是地球的1/81.3 , 月亮本是悬浮在宇宙中的星体 , 是地球卫星 , 並非“脚踏实地” , 能否在杠杆撬动地球时 , 面对重于已身近百倍的地球纹丝不动?……
同样蚂蚁撬汽车 , 估计这杠杆伸到太阳上够不够 , 都成问题 。
故而 , 现实中 , 这事是永远不可能兑现的 。
谢邀!
给我一个支点我就能撬起地球 , 这是阿基米德的名言 , 根据它的杠杆原理 , 支点选得好 , 两臂之比足够大 , 再重的物体 , 即使是地球 , 也能被撬动 。
引申意义:就是说知识和智慧能够解决所有看似不可能的事情 , 很有豪言壮语的意味 。但放在实际生活中 , 这是不可能的 。
我们知道地球的质量高达5.965*10^24千克 。而举重世界冠军最多也只能举起200千克的物体 。那么由杠杆平衡公式!M1*L1=M2*L2 , 则有L1/L2=M1/M2,所以长短力臂的长度比值为:L1/L2=5.965*10^24千克/200千克=2.9825*10^22倍
- 金庸那么多小说,哪一个最有代表性,为什么?
- 第一次见女友,说什么话?
- 牛郎和织女的故事后来怎么样了?
- 分手时说什么话最恶心?
- 荒野大镖客2传奇鱼怎么钓
- 春秋谷梁传解读分享 春秋谷梁传记载
- 佛经故事:鬼子母的传说
- 纹身讲究与忌讳说法
- 10条感叹时间易逝的心情说说 发朋友圈感慨时间的句子
- 辅助拿mvp说明什么
特别声明:本站内容均来自网友提供或互联网,仅供参考,请勿用于商业和其他非法用途。如果侵犯了您的权益请与我们联系,我们将在24小时内删除。
