本文主要内容:通过几种方法计算用代数式来表示sin18° 。
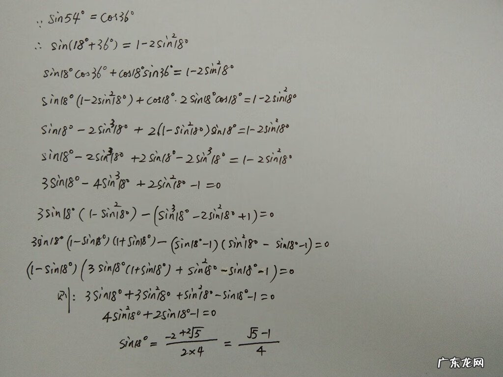
1.利用sin54°=cos36°来计算

文章插图
主要思路:利用sin54°与sin18°中角度的3倍关系,得到sin18°的二次方程,进而得到sin18°的代数值表示 。
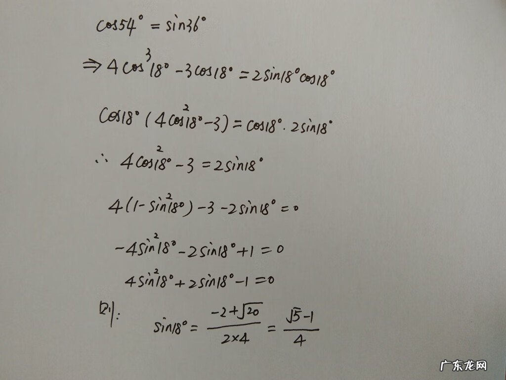
2.利用cos54°=sin36°来计算

文章插图
?主要思路:利用cos54°与sin18°中角度的3倍关系,得到sin18°的二次方程,进而得到sin18°的代数值表示 。
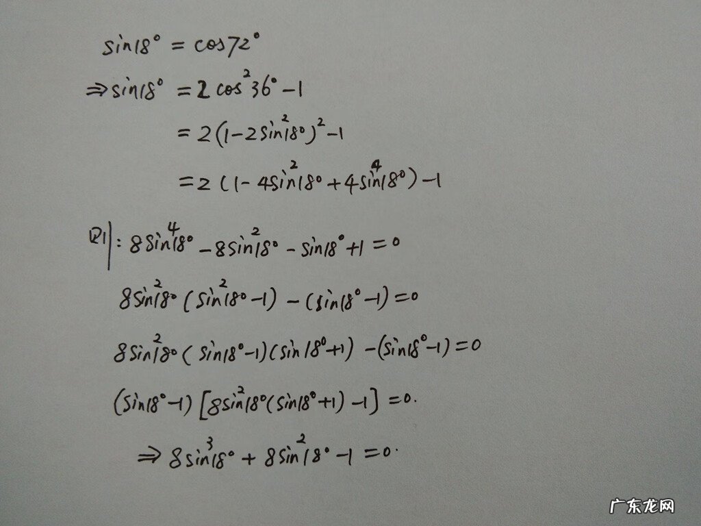
3.利用sin18°=cos72°来计算

文章插图

文章插图
4.利用cos18°=sin72°来计算?

文章插图

文章插图
【sin18度是多少 sin18度等于多少分数】综上:sin18°=(√5-1)/4,是三角函数中常用到的计算公式 。
- 汴梁是现在的哪个城市 汴州是现在的什么
- 北大清华录取分数线2020 清华北大分数线是多少分
- 眼睛一个站岗一个放哨是什么意思 眼睛一个站岗一个放哨是为啥
- 杰诗帕是什么产品 杰诗帕去眼袋多少钱一盒
- 预告预抵押是什么意思 预抵押和正式抵押区别在哪
- 吸塑门好还是高光门好 吸塑柜门造型图片大全
- 寻找爱情的句子唯美短句 寻找爱情的句子
- 梦见自己打女儿是什么预兆 做梦打女儿什么意思周公解梦
- 基金定投指的是什么 基金定投 什么意思
- 引力魔方是按展现收费吗?怎么出价好?
特别声明:本站内容均来自网友提供或互联网,仅供参考,请勿用于商业和其他非法用途。如果侵犯了您的权益请与我们联系,我们将在24小时内删除。
