答:对于这个问题没有确定的数字答案,地球上可能经过千年沧海桑田,但是可能黑洞中那个人一秒钟都没经历过 。
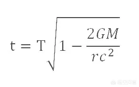
黑洞是广义相对论中的特殊天体,本体中涉及的主要理论也是广义相对论的时间膨胀效应 。与狭义相对论不同的是,这里是因为引力(或者是时空弯曲)导致的时间流逝速度变慢 。以下是广义相对论的时间膨胀公式:

文章插图
如果真的有这样一个人奔着黑洞而去,那么他会在逐渐接近黑洞的过程中被巨大的引力拉扯,吞噬分解成粒子 。当这堆粒子接触到黑洞视界的那一刻,预示着它的时间的停止,也就是说时间对于这堆粒子来说已经不存在了,地球的时间对于它来说是飞逝,可能像看电影一样的快进,所以开头说这个人在黑洞里待不了一个小时,因为时间停止流逝了不存在了,在我们眼中他就是永生了 。但是对于他自己来说并不会有时间静止的意识 。

文章插图
关于黑洞巨大的引力导致的时间膨胀效应,在《星际穿越》中出现过,男主角去绕黑洞公转的行星执行任务,在回来的时候给他的黑人伙伴头发都白了 。这就是引力导致的时间膨胀效应,我们在生活中能接触到的就是平常用的导航,导航卫星就需要计算出膨胀时间的差值再调整 。

文章插图
简单回答期待更多优质答案,欢迎关注点评 。
如果你说的是黑洞的里面,那么抱歉,目前没有任何可看的理论能够说明黑洞的里面究竟是什么样的存在,因为黑洞本身已经不能用我们世界的物理定律和大自然法则去解释了!
如何你说的是“事件视界”的里面,在那里呆了一个小时,还是有两种情况 。
因为时间是相对的,所以如果说这一个小时是视界外面的人(比如地球上的你)感知的时间,那很简单了,地球上还是过去了一小时!
如果说这一小时是进入事件视界的人感知的时间,理论上地球上过去的时间会是无限长,因为一旦到达“事件视界”,外界看来进入事件视界的人的时间将永远停止,没有了的时间的流逝!
估计楼主的意思就是第二种吧!
事实上,这只是理论上的分析,实际上没有多大的意义!因为任何事物一旦越过黑洞的“事件视界”,就永远不可能再出来,那里发生的任何事件都与我们无关,甚至可以说那里就是另外一个世界,我们与另外一个世界做时间上的对比又有什么意义呢?
而黑洞里面究竟是什么,掉入黑洞中会发生什么更是无人知晓,目前的所有观点也只是一种推测!有人认为进入黑洞就有机会进入所谓的“高维度时空”,正如科幻电影《星际穿越》描述的那样 。还有一种观点,黑洞的另一断通向另一个宇宙 。当然更多人还是持有这种观点,那就是进入黑洞就等于死亡!
简单回答:我们已知世界的任何物质都无法保持原样的进入黑洞,更别说很脆弱的生命和人类了 。

文章插图
因为黑洞里不会有我们已知物质存在我们分层次描述一下黑洞:在黑洞极端引力和角动量作用下,在黑洞吸积盘中飞速旋转的物质都会在碰撞中化为齑粉,这个齑粉绝不是我们通常理解的齑粉,而是成为了基本粒子 。在黑洞吸积盘从外沿到内沿,速度从每秒数千千米到数万千米,接近黑洞事件视界时,速度甚至接近光速 。
在这样的速度碰撞下,会发出极高温度,从外围的数千度到里面的上亿度,甚至数千上万亿度,在黑洞事件视界附近,原子已经解体,物质成为稠密的夸克汤,吸积盘会发出明亮的可见光和不可见的X射线、伽马射线 。
- 减负减负,为什么越减越负?问题在哪?可有解决的良方?
- CF外服角色 cf外服人多吗
- 入户门的风水 风水桌子对门
- 买楼风水怎么看 高层住宅怎么看风水
- 收腹裤 收腹内衣有用吗
- 结肠癌因为什么引起 结肠癌的原因
- 如何在农村创业致富 最新农村致富好项目
- 10000天猫积分怎么用 天猫积分在哪里看
- 在网上找工作会不会被骗?
- 电脑qq里怎么找到qq邮箱 手机qq邮箱在qq里怎么找不到
特别声明:本站内容均来自网友提供或互联网,仅供参考,请勿用于商业和其他非法用途。如果侵犯了您的权益请与我们联系,我们将在24小时内删除。
