
文章插图
【六年级数学课程 6年级数学】

文章插图

文章插图

文章插图

文章插图

文章插图

文章插图

文章插图

文章插图

文章插图

文章插图

文章插图

文章插图

文章插图

文章插图

文章插图

文章插图
- 视频剪辑课程 视频剪辑培训课程
- 风水学课程 风水 课程
- 数学建模基本模型 常见数学建模模型
- 环球网校首页我的课程 环球职业教育培训
- 绘画专业就业方向都有什么 主要课程有哪些
- 自然地理与资源环境属于什么类 都学哪些课程
- 夏令营课程设计主题 夏令营主题名称大全
- 游戏设计 游戏设计课程内容
- 六年级数学辅导计划、措施 6年级数学辅导方法
- 小学数学概念课教学 小学数学概念教学的基本步骤
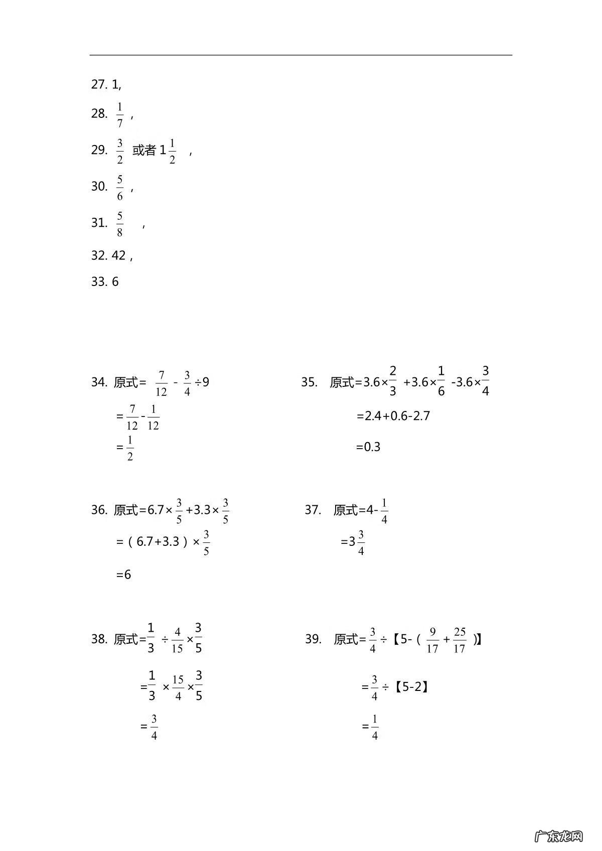
特别声明:本站内容均来自网友提供或互联网,仅供参考,请勿用于商业和其他非法用途。如果侵犯了您的权益请与我们联系,我们将在24小时内删除。
