做选择题除了用了知识点之外,还可以用选择题本身的漏洞做题 。大家记住一点,所有选择题,题目或者答案必然存在暗示点:
1)有选项 。利用选项之间的关系,我们可以判断答案是选或不选 。如两个选项意思完全相反,则必有正确答案 。
【高考选择题题型 高考数学选择题题型】 2)答案只有一个 。大家都有这个经验,当时不明白什么道理,但是看到答案就能明白,由此选项将产生暗示 。
3)题目暗示 。选择题的题目必须得说清楚 。大家在审题过程中,是必须要用到有效的讯息的,题目本身就给出了暗示 。
4)利用干扰选项做题 。选择题除了正确答案外,其他的都是干扰选项,除非是乱出的选项,否则都是可以利用选项的干扰性做题 。一般出题者不会随意出选项,总是和正确答案有点关系,或者是可能出错的结果,我们就可以借助这个命题过程得出正确的结论 。
5)选择题只管结果,不管中间过程,因此在解题过程中可以大胆的简化中间过程 。
6)选择题必须考察课本知识,做题过程中,可以判断和课本哪个知识相关?那个选项与这个知识点无关的可立即排除 。因此联系课本知识点做题 。
8)选择题必须保证考生在有限时间内可以做出来的,因此当大家花很多时间想不对的时候,说明思路错了 。选择题必须是由一个简单的思路构成的 。
知道了这个前提之后,就来看看一些技巧↓↓↓
1. 排除法:利用已知条件和选项所提供的信息,从四个选项中剔除掉三个错误的答案,从而达到正确选择的目的 。这是一种常用的方法,尤其是答案为定值,或者有数值范围时,取特殊点代入验证即可排除 。

文章插图
y=x为奇函数,y=sin|x|为偶函数,奇函数+偶函数为非奇非偶函数,四个选项中,只有B选项为非奇非偶函数,凭此一点排除ACD 。
2. 特殊值检验法:对于具有一般性的数学问题,在解题过程中,可以将问题特殊化,利用问题在某一特殊情况下不真,则它在一般情况下不真这一原理,达到去伪存真的目的 。值得注意的是,特殊值法常常也与排除法同时使用 。

文章插图
代入特殊值0,显然符合,排除AD;代入x=-1显然不符,排除C 。
3. 极端性原则:将所要研究的问题向极端状态进行分析,使因果关系变得更加明显,从而达到迅速解决问题的目的 。极端性多数应用在求极值、取值范围、解析几何、立体几何上面,很多计算步骤繁琐、计算量大的题,采用极端性去分析,就能瞬间解决问题 。

文章插图
直接取AB⊥CD的极端情况,取AB中点E,CD中点F,连结EF,令EF⊥AB且EF⊥CD,算出的值即最大值,无须过多说明 。
4. 顺推破解法:利用数学定理、公式、法则、定义和题意,通过直接演算推理得出结果的方法 。如下题,根据题意,依次将点代入函数及其反函数即可 。

文章插图
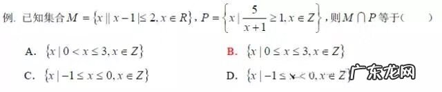
5. 逆推验证法(代答案入题干验证法):将选项代入题干进行验证,从而否定错误选项而得出正确答案的方法 。常与排除法结合使用 。

文章插图
代入x=0,显然符合,排除AD;代入x=-1显然不符,排除C 。选B 。
6. 正难则反法:从题的正面解决比较难时,可从选项出发逐步逆推找出符合条件的结论,或从反面出发得出结论,在做排列组合或者概率类的题目时,经常使用 。
- 钓鱼新手怎么选鱼钩?钓友:就用这4种,简单实用! 钓鱼鱼钩的选择
- 「升职必备」这5个软件打工人不要错过,工作效率翻倍不是问题
- 京东大促期间库存及发货管理的高频问题解答
- 选择亚马逊物流的好处有哪些?有缺点吗?
- 台湾虾皮做什么比较容易出单?选择什么产品好?
- 大三色锦鲤幼鱼怎么选择
- 夏令营主题背景
- 京东商品质量问题纠纷处理
- 大明山风水留题地 大明山风水留题诗
- 镇宅符的摆放需要注意哪些问题
特别声明:本站内容均来自网友提供或互联网,仅供参考,请勿用于商业和其他非法用途。如果侵犯了您的权益请与我们联系,我们将在24小时内删除。
