室内游离甲醛的处理方法,你了解多少(化学反应除甲醛)

文章图片
目前各种平台除醛产品琳琅满目、良莠不齐 , 虚假宣传、夸大其词;消费者对甲醛了解不全面 , 不能很好地辨别真假好坏、盲目跟风、胡乱除醛 , 出力花钱没效果 , 亦或者造成二次空气污染 。
本系列科普文基于笔者工作中对室内除醛方面的了解 , 普及相关除醛知识 , 并提出自己的相关看法与措施 , 致力于科学除醛 , 理性除醛、安全除醛 , 增强读者对除醛产品辨别真假、理性选择意识 。
本篇文章继续介绍化学反应法除甲醛的优势与局限性 , 增进大家对除醛产品的理性选择 。
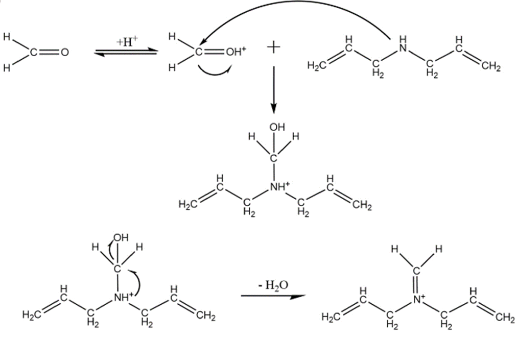
化学反应法除甲醛在之前的文章中提及 , 甲醛化学性质十分活泼 , 能与有机胺发生亲核加成反应 , 生成席夫碱 , 这是绝大多数化学反应型除甲醛产品依据的原理 。
二烯丙基胺(有机胺)与甲醛亲核加成反应机理
化学反应除甲醛是目前最主流的除甲醛方式 , 它通常不是单独应用 , 而是结合活性炭、吸附剂、沸石等多孔材料 , 赋予多孔材料更高的甲醛吸附量 , 亦或通过化学接枝聚合的方式聚合到胶乳中 , 制备可以除甲醛的功能涂料 , 这方面主要由浙江冰虫环保科技有限公司、嘉宝莉涂料公司、广州叶子环保科技有限公司等与高校合作研究 。
优势:高效 , 短时间内即可快速降低室内游离甲醛浓度 , 并在一段时间内保证室内游离甲醛浓度符合国家标准;价格相对便宜 。
局限性:有机胺作为反应消耗品 , 在足量的甲醛环境中 , 最终会消耗殆尽 , 从而失去除甲醛的能力 , 这不能应对甲醛释放周期长的问题 , 因此需要周期性使用 , 保证有机胺的不间断供应;有机胺作为有机物始终存在化学毒性 , 误食或过量接触也会给身体带来伤害;
【室内游离甲醛的处理方法,你了解多少(化学反应除甲醛)】有机胺与甲醛发生的亲核加成反应为可逆反应 , 若不及时清理反应产物 , 也会存在逆反应释放甲醛的现象 。
尽管以有机胺为代表的化学反应型除甲醛产品存在以上问题 , 但其高效的除甲醛效率与低成本使其成为最主流的除醛产品 , 随着技术的发展 , 有机胺在使用过程中存在的问题也慢慢被攻克 , 安全高效的除醛产品目前已经在实验室中被合成出 , 相信几年内便能与大众见面 。
除甲醛团队工作图
篇幅有限 , 下篇文章继续介绍
生物酶除甲醛关注我 , 带你了解更多除甲醛的知识
2021年12月15日
特别声明:本站内容均来自网友提供或互联网,仅供参考,请勿用于商业和其他非法用途。如果侵犯了您的权益请与我们联系,我们将在24小时内删除。
