椭圆的内法线可以通过以下步骤求得:
1. 找出椭圆的中心和两个主轴,主轴分别为a和b 。
2. 在椭圆上选取一点P,过该点做切线,切点为T 。
3. 在点T处画出切线和椭圆的法线 , 分别为OT和ON 。
4. 从点P出发 , 以OT为直线方向 , 作一条平行于ON的线段,与椭圆相交于点Q 。
5. 线段PQ即为所求内法线 。
需要注意的是,椭圆有两条主轴,每个点可能有多个切线 , 因此需要根据具体情况选择正确的切线 。
高数k是椭圆某点处的斜率 等于此点处的导数
k' 是椭圆此点处的法线斜率 k'=-1/k
内法线方向 即点指向椭圆内部法线方向 等于 (-dx, -dy) /((dx)^2+(dy)^2)^0.5

文章插图
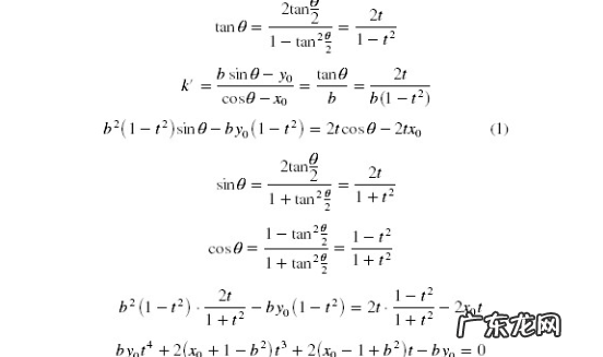
椭圆内法线方向怎么求y' = (dy/dθ)/(dx/dθ) = -bcosθ/sinθ = -b/tanθ 。在椭圆上点P(cosθ, bsinθ)处切线的斜率为k = -b/tanθ 。过P的法线的斜率为k' = -1/k = tanθ/b 。另外法线过(x0, y0)和P,其斜率为k 。
其余见图:

文章插图
扩展资料:
因此,它是圆的概括,其是具有两个焦点在相同位置处的特殊类型的椭圆 。椭圆的形状(如何“伸长”)由其偏心度表示,对于椭圆可以是从0(圆的极限情况)到任意接近但小于1的任何数字 。
椭圆是封闭式圆锥截面:由锥体与平面相交的平面曲线 。椭圆与其他两种形式的圆锥截面有很多相似之处:抛物线和双曲线,两者都是开放的和无界的 。圆柱体的横截面为椭圆形,除非该截面平行于圆柱体的轴线 。
椭圆也可以被定义为一组点,使得曲线上的每个点的距离与给定点(称为焦点)的距离与曲线上的相同点的距离的比值给定行(称为directrix)是一个常数 。该比率称为椭圆的偏心率 。
也可以这样定义椭圆,椭圆是点的集合,点其到两个焦点的距离的和是固定数 。
椭圆在物理,天文和工程方面很常见 。
椭圆法线性质的证明外法线指向曲面外侧,内法线指向内侧 。所以考虑切点p处的法线,可以在曲面内侧取一点q , 那么,如果法线方向和向量pq的夹角大于90°,可以判定其为外法线,反之为内法线 。当然,也可以取曲面区域外侧的点进行判断,道理一样 。

文章插图
椭圆的内法线怎么求在曲面内侧取一点Q,那么,如果法线方向和向量PQ的夹角大于90°,可以判定其为外法线,反之为内法线 。当然 , 也可以取曲面区域外侧的点进行判断 , 道理一样 。
椭圆与圆很相似 。不同之处在于椭圆有不同的x和y半径,而圆的x和y半径是相同的 。在数学中 , 椭圆是平面上到两个固定点的距离之和是同一个常数的点的轨迹 。

文章插图
【椭圆的内法线怎么,高数】
- 内脏脂肪率怎么测量,身体功能指标有哪些
- 京东快递省内重量收费标准是什么?几天内发货?
- 28g内存卡怎么看真假,金士顿内存条怎么辨别真假
- 西游记00字概括全文,西游记主要内容概括00字左右
- 蚕宝宝适合在什么环境中生存,蚕应该生长在什么样的环境内
- 油烟机换气怎么解决,油烟机往室内吹风怎么办
- 工伤鉴定标准是怎么样的,工伤级别鉴定标准中的十级内容
- 内仁肉的功效与作用,枸杞子可以和内仁肉黄芪一齐煲汤
- 江苏医保卡全省通用,江苏医保卡省内能通用买药
- 加内存条后需要设置,电脑加了内存条开不了机
特别声明:本站内容均来自网友提供或互联网,仅供参考,请勿用于商业和其他非法用途。如果侵犯了您的权益请与我们联系,我们将在24小时内删除。
