这个问题把 爱因斯坦折磨得死去活来的 , 他写到:“ 为什么这两件事情彼此矛盾 , 我感到这个问题难以解决 。 我怀着修正洛伦兹某些思想的希望 , 差不多考虑了一年 , 毫无结果 。 这时候我才认识到 , 它真的是一个难解之谜 。 ”
也就是说 , 爱因斯坦花了 整整一年时间去思考这个问题 , 但没有任何结果 。
在一个阳光明媚的日子 ,爱因斯坦去拜访了好友兼同事的 贝索 。 他们就这个问题讨论了很多 , 然后爱因斯坦突然就明白了 。 第二天爱因斯坦又去看贝索 , 开口就说:“太感谢你了!我已经完全解决这个问题了 。 ”
解决这个问题的 5周以后(注意爱因斯坦当时在 专利局上班 , 他只能用 业余时间写论文) ,爱因斯坦就发表了划时代的论文《 论动体的电动力学》 。
文章图片
在这篇论文里 , 他没有引用任何文献 , 没有提到任何当代著名的科学家 。 唯独在论文的最后写了这么一小段:“最后 , 我要声明 , 在研究这里所讨论的问题时 , 我曾得到我的朋友和同事贝索的热诚帮助 , 要感谢他一些有价值的建议 。 ”
也就是说 ,贝索是 爱因斯坦在狭义相对论的论文里唯一明文感谢的人 。
他那天到底跟贝索聊了啥 , 我们现在是没法知道了 。 但是 , 我们试着猜想一下 , 看看 爱因斯坦在 1905年初到底知道些什么 , 困扰他的问题又是什么 , 要怎样才能合理地解决这些问题 。
20-对应态定理
这个问题的产生很简单:只要我们认为 麦克斯韦方程组满足 相对性原理 , 就一定会推出 光速不变这个难题 。
在经历了这么多的思索以后 ,爱因斯坦已经坚信电磁定律必须满足相对性原理了 。 所以 , 他要做的是想办法协调 相对性原理和 光速不变 , 而不管它们看起来有多矛盾 。
那要怎样协调呢?
爱因斯坦肯定会想到 洛伦兹1895年的论文 , 因为 洛伦兹在这篇论文里提出了一套 满足相对性原理的一阶电磁理论 。 这一点爱因斯坦自己也说了:“我怀着修正洛伦兹某些思想的希望 , 差不多考虑了一年 。 ”
当然 , 在 洛伦兹眼里 , 他提出的是一套在 以太系和 相对以太做匀速直线运动的参考系都适用的电磁理论 。 但是 爱因斯坦根本不相信有什么绝对静止的以太 , 所以 , 在他眼里这就是一套满足 相对性原理的 一阶理论 。
也就是说 ,洛伦兹最起码在 v/c一阶情况下让它们协调了起来 , 那 爱因斯坦肯定要来这里找找灵感啊 。
那洛伦兹是如何做到这一点的呢?他的核心是证明了一个叫 对应态定理的东西 。
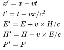
对应态定理是说 , 如果我们在 相对以太静止的参考系 (x,t)里考虑一个电磁状态 , 用 E、H、P分别表示 电场、 磁场、 电极化矢量 。
那么 , 在相对这个参考系以 速度v运动的新参考系 (x’,t’)里 , 就存在一个对应的态 E‘、H‘、P’ 。 在 v/c一阶情况下 , 它们作为 x’与 t’的函数 , 与 E、H、P作为 x与 t的函数 , 在 数学形式上是一样的 。
在这两个参考系里 , 这些量的对应关系是这样的( x表示 x轴坐标 ,t表示 时间):
文章图片
是不是有点拗口?
确实有点 , 我这里主要是想保留 洛伦兹思想的原汁原味 , 所以没做什么改动 。
那些电磁物理量大家没必要去细究 ,洛伦兹的主要意思是: 如果我在一个新的参考系里把横坐标x’和时间t’写成上面这个样子 。 那么 , 在一阶情况下 , 那些电磁物理量的数学形式就可以跟原来的保持一致 。
特别声明:本站内容均来自网友提供或互联网,仅供参考,请勿用于商业和其他非法用途。如果侵犯了您的权益请与我们联系,我们将在24小时内删除。
