这不就是说它们在 v/c一阶下满足 相对性原理么?
牛顿力学是通过 伽利略变换满足相对性原理的 , 我们来看看 洛伦兹采用的 时空变化关系 。 也就是从一个惯性系变换到另一个惯性系时 , 时间坐标和空间坐标要怎么变:
文章图片
在相对原来参考系以 速度v运动的新参考系里 ,空间坐标 x’=x-vt是非常正常的 。 它们之间就差了一个参考系的运动速度和时间的乘积(就像你在地面和火车的距离 , 就差了火车的速度乘以时间一样) ,伽利略变换里也是这样 。
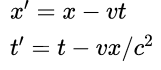
关键就是这个 时间t’了 , 它和 t之间有一个从来没见过的复杂关系 , 而且还跟 光速c有关 。
洛伦兹发现只有把 t’写成 t’=t-vx/c2这个样子 , 那些 电磁物理量才能在两个惯性系里都保持一样的数学形式 。 可能他也不明白为什么要这样写 , 但是发现只有这样写 , 才能满足 相对性原理 。
所以 , 对 洛伦兹来说 , 这只是一个纯粹的 数学技巧 , 没有什么真实的 物理意义在里面 。 于是 , 洛伦兹把 t称为 一般时 , 而把 t’成为 地方时(local time) 。
从名字你也能看出来 , 洛伦兹认为相对 以太系静止的 t才是一般意义上的时间 , 是 真实的时间 。 而 t’只是一个 地方时 , 只是为了满足对应态定理而增加的一个数学技巧 。
文章图片
爱因斯坦肯定能看到 地方时在这里起的重要作用 , 这个陌生的概念是保证洛伦兹的电磁理论在一阶情况下满足 相对性原理的关键 。
于是就出现了他自己说的 , 试图扩展 洛伦兹的某些思想 , 但是失败了 。
虽然扩展失败了 , 但 洛伦兹引入的 地方时和 对应态定理的思想 , 肯定给爱因斯坦留下了非常深刻的印象 。 他也应该能隐隐约约感觉到 , 问题的关键应该就出在 时间、地方时这里 。
21-时间
提到 时间 , 我们就会想到 钟表 , 提到钟表立马就会想到钟表王国 瑞士 。 巧得很 ,爱因斯坦就是 瑞士伯尔尼专利局的职员 。
那时候火车刚刚兴起 , 各个火车站之间的 时间校准是一个很麻烦的问题 。 于是 ,爱因斯坦经常会收到各种关于 时钟校准的专利申请 。
比如 , 给你两个钟 , 你要如何校准它们呢?
如果这两个钟就在一个地方 , 我们直接校准它们就行了 。 但问题是 , 如果它们一个在 北京站 , 一个在 武汉站 , 那要怎么办呢?
也好办 , 只要假定 光在空间中速度都一样(其实就是假定 空间的均匀性) , 我们从北京站发射一个光信号到武汉站 , 再让信号返回北京 。 利用时间和路程的关系 , 校准这两个时钟也是很容易的事情 。
文章图片
既然异地 时钟是可以被校准的 , 那么我们就可以用一个与自己相对静止的时钟来记录自己所在参考系的时间 。
比如 , 我在火车上放一个时钟 , 这个时钟的读数就表示火车系的时间;我在地面放一个时钟 , 这个时钟就记录了地面系的时间 。
为什么这个事情会搞得这么麻烦 , 很多人表示难以理解 。 他觉得时间嘛 , 不就是那个 , 那个 , 反正就是那个在那里的东西 。 虽然具体他也说不清楚 , 但是觉得时间应该是一个不言自明的东西 。
你看 , 你要是连自己都说不清楚 , 你要怎么说服 马赫?
前面我们说了 ,马赫对绝对时间和绝对空间的批判对 爱因斯坦影响很大 。 马赫从 实证主义的立场出发 , 认为绝对时间、绝对空间这种 无法观测的物理量是没有 科学上的意义的 , 它们只是一些 形而上学概念 , 应该被 抛弃 。
特别声明:本站内容均来自网友提供或互联网,仅供参考,请勿用于商业和其他非法用途。如果侵犯了您的权益请与我们联系,我们将在24小时内删除。
