2022年全国卷数学答案解析如下

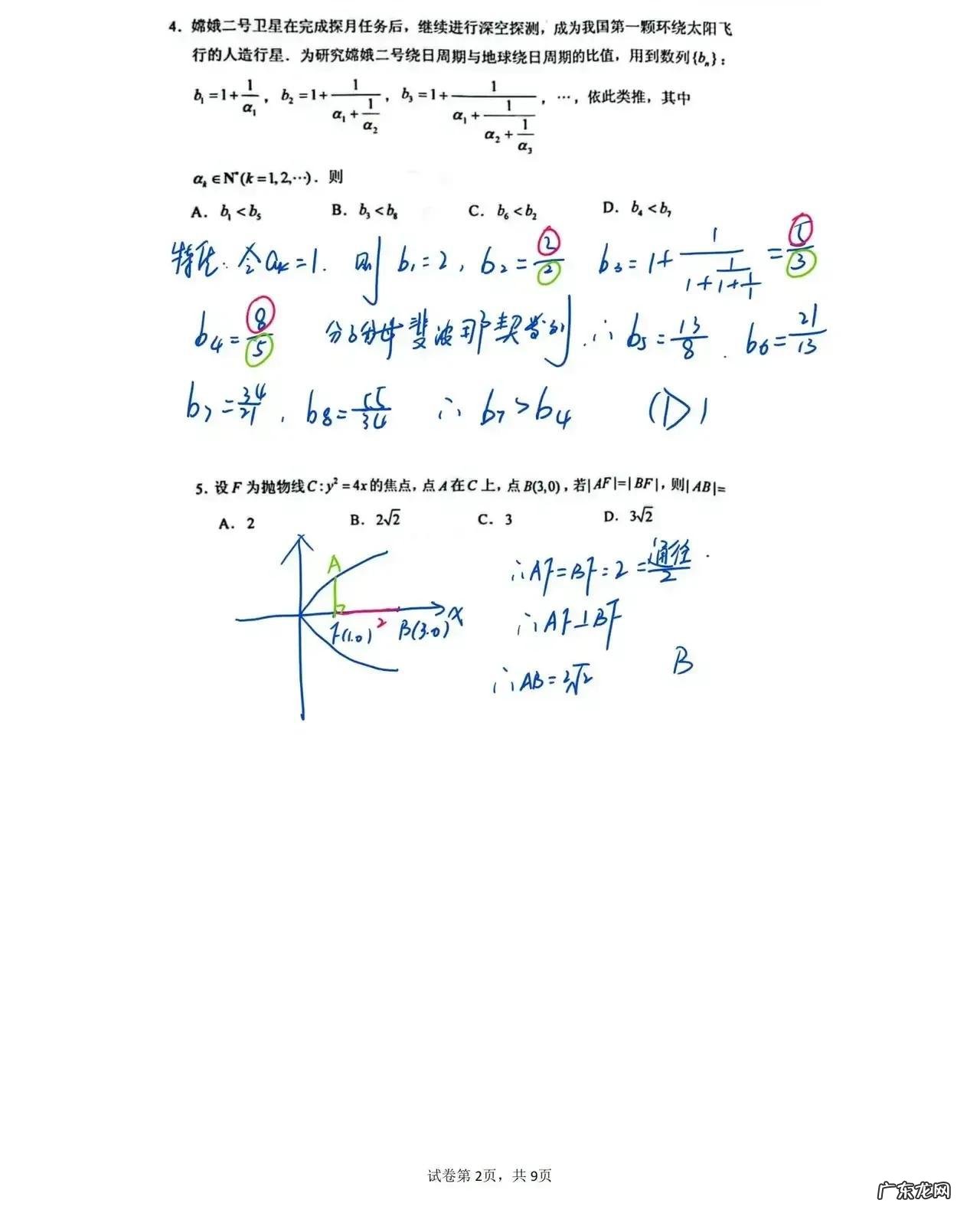
文章插图

文章插图

文章插图

文章插图
【高考数学权威评析答案】

文章插图

文章插图

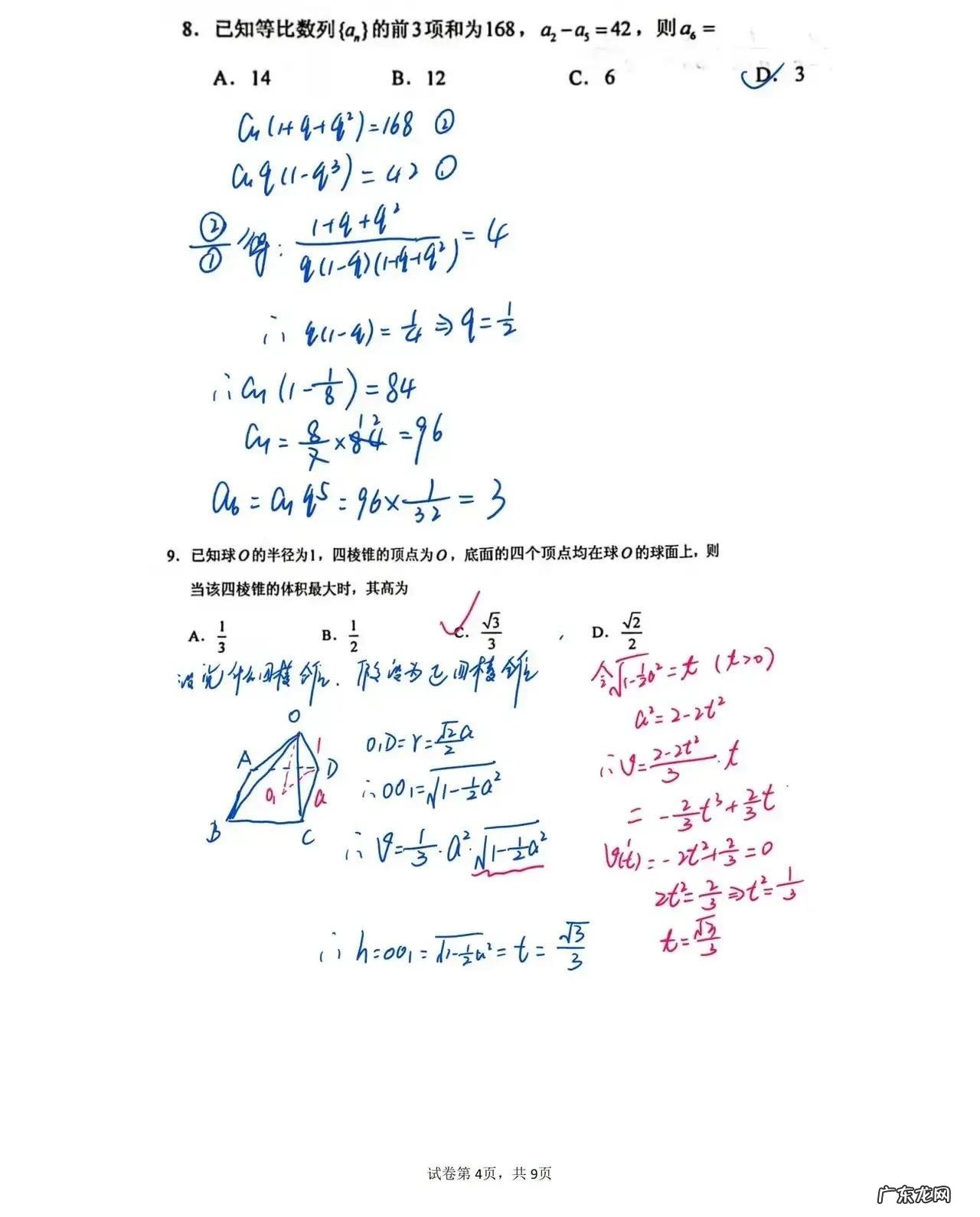
文章插图

文章插图

文章插图
- 答案!九年级数学寒假作业第1天参考答案 九年级数学寒假作业答案2020
- 高考成绩今天15时后可查 湖南省高考成绩查询时间2020
- 电子与计算机工程专业就业方向与就业前景怎么样
- 建筑电气与智能化专业就业方向与就业前景怎么样
- 城市地下空间工程专业就业方向与就业前景怎么样
- 道路桥梁与渡河工程专业就业方向与就业前景怎么样
- 港口航道与海岸工程专业就业方向与就业前景怎么样
- 水务工程专业就业方向与就业前景怎么样
- 测绘工程专业就业方向与就业前景怎么样
- 制药工程专业就业方向与就业前景怎么样
特别声明:本站内容均来自网友提供或互联网,仅供参考,请勿用于商业和其他非法用途。如果侵犯了您的权益请与我们联系,我们将在24小时内删除。
