大家好,我是专升本数学学霸,你知道求定义域的方法有哪些吗?没关系,学霸来帮你来啦 。接下来,我们一起总结一下求定义域的方法 。
我们一定要先知道函数的三要素:定义域、值域、对应关系 。
根据自变量所处的位置来决定函数的定义域哟,接下来,我来一 一来讲 。
整式函数,例如一元一次函数、一元二次函数、二元一次函数等,只要没有特殊情况,都是一切实数 R。
【怎么求函数定义域?】接下来我们一起来讨论 其余函数的定义域 。
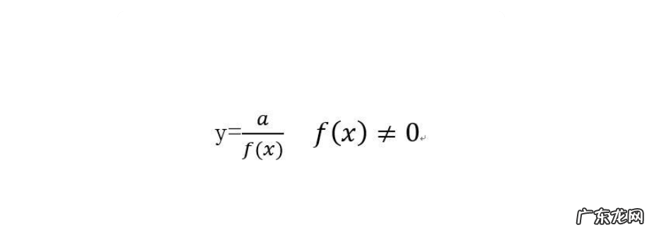
①自变量在分母(分式函数),就考虑分母不为0的情况 。我们来举个简单的例子:

文章插图
图1 自变量在分母
依次类推,不管函数多复杂,只要自变量出现在分母,就考虑分母不为0的情况,只要分母的整个式子不为0,凑成等式与不等式,来求自变量的定义域 。
②自变量出现在根号内,考虑自变量出现在开奇次方根,还是开偶次方根 。如果开奇次方根,自变量的定义域为一切实数R 。如果开偶次方根,如图3所示 根号下的式子只要大于等于0. 凑成等式与不等式,来求自变量的定义域 。

文章插图
图2 自变量在根号内
③自变量出现在底数,指数为0的情况,如图4所示,当指数为0,底数不能为0,凑成等式与不等式,来求自变量的定义域 。

文章插图
④自变量出现在指数式的底数,如图4所示,底数大于零且不等于一,凑成等式与不等式,来求自变量的定义域 。

文章插图
图4 指数式的底数
⑤自变量出现在对数式的底数,如图5所示,底数大于零且不等于一,整数大于零,凑成等式与不等式,来求自变量的定义域 。

文章插图
图5 自变量出现在对数式的底数
⑥自变量出现在指数上,如图6所示,指数属于一切实数,按照具体情况,具体分析 。凑成等式与不等式,来求自变量的定义域 。

文章插图
图6 自变量在指数上
以上七种函数式是常见函数,求函数的定义域,具体情况,具体分析 。
求值域的方法,把定义域的每一个数带进去求出最大值和最小值,逐一比较,得出值域 。对应关系就是对每个x,都能对应(也可以说计算出)一个y.比如y=2x+3就表示一个函数,x=1,对应y=5.又比如y=x-1,这也是一个函数,x=1,y=0
讨论求函数的定义域到此为止,下次再来讨论怎么求三角函数的定义域 。
以上发表是个人的观点,如有意义,请在评论区讨论 。本文针对考专升本数学的考生而准备的 。
最后,谢谢朋友观看,想收藏的朋友,请点击收藏 。祝专升本考生考上理想的本科 。
- 瘦肉怎么做好吃?
- 身体突然出汗是怎么回事?
- 自媒体是什么?怎么做自媒体赚零花钱?
- 钻戒品牌口碑排行榜是什么?求婚订婚钻戒哪家强?
- 老道风水:房屋北高南低,又有水流过,家中易出达官显贵 房子北面和东面有河风水怎么样
- 黑龙江省哈尔滨市疫情怎么样了?
- 结婚后老婆管钱,老公藏私房钱给自己的父母,被老婆知道了,该怎么办?
- 上联:过年那些事事事经典!怎么对下联?
- 夏天,室友要开空调制冷,我怕冷不想开。ta说,你冷还可以盖被子,我热怎么办?请问如何反驳?
- 评价别人等于评价自己,你怎么看?
特别声明:本站内容均来自网友提供或互联网,仅供参考,请勿用于商业和其他非法用途。如果侵犯了您的权益请与我们联系,我们将在24小时内删除。
