代数包围的世界——一旦问题被代数表示,就简单了

文章图片

文章图片

文章图片

文章图片

文章图片

假设你家正在装修 , 有6个工人正在进行装修工作 。 假设他们做的工作都一样 , 而且每个人工作效率都一样 。 我们只是为了便于理解而假设这些 。
假设6个工人要花5天时间来装修整个房子 , 那么如果有3个人从一开始就离开了 , 那么剩下的人装修整个房子要多少天?
我们可以通过以下方式计算出来:
- 6个工人需要5天这项工作 。
- 1个工人需要5*6天完成这项工作 。
- 3个工人需要(5*6)/3天完成这项工作 。
但你可以用简单的代数跳过上面那些行 。 只要假设工人的数量是x , 他们将花费的天数是y , 工人离开的百分比是z 。
所以 , 需要的天数=y/(1-(z/100)) 。 在这里你会发现 , 如果我们知道工人离开的百分比 , 那么工人的数量甚至没有用在方程中 。
让我们看看另一个例子 。 假设你想买一双新鞋 。 但你想等到双十一 , 因为那个时候会有大促销 。 商店给了一个统一的30%的折扣 。 目前 , 这双鞋的价格是50元 。 那么 , 在大促销时 , 它的价格是多少?
你将花费50*(1-(30/100))=35元 。
但是 , 如果你想买一双价格为60元的鞋子 , 并且它有35%的折扣 , 怎么办?你将如何计算?
让我们把这双鞋的价格定为x , 折扣率定为y 。 只需一个方程式 , 现在你就可以计算出任何物品的折扣价 。 我们可以设折扣价为P , 那么我们将简单地得到P=x*(1-(y/100)) 。
我们还可以进一步简化 。 让我们把30%写成0.3 , 因为它的意思是一样的 。 然后我们得到一个更简单的公式:
仅仅一个公式就可以概括很多情况 。 不仅仅是计算价格 , 代数也用了表示物理学 。 例如 , 力的公式是:
只要F代表力 , m代表质量 , a代表加速度 , 这个公式就一直有效 。
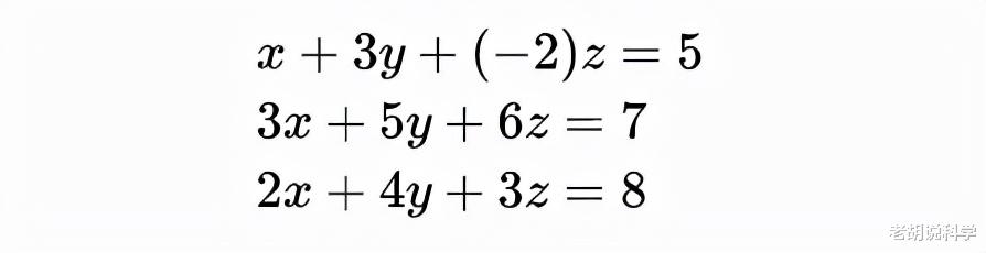
这才刚刚开始 。 你看到了什么是方程以及我们如何得到它们 。 假设你有很多方程和很多变量 。 你可以对它们中的每一个做一些操作 , 最后用笔和纸计算变量的值 , 但这真的很乏味 , 而且一点都不高效 。 如果你有一千个方程要解 , 要找到一千个变量的值 , 怎么办?你可能无法用笔、纸来完成 。 我们需要一个计算机程序来为我们做这件事 。
考虑一下上面这组方程 。 如果我们用笔和纸来做 , 即使是这三个方程也要花一些时间才能解出来 。 所以 , 我们先用不同的方式来表现它 。
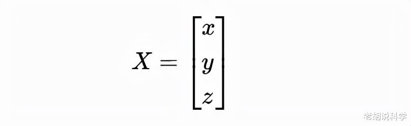
我们把它们都表示为:某数乘以一个变量 , 加上某数乘以一个变量 , 再加上......就等于某数了 。 另外 , 我们必须按照特定的顺序来写(这里我们按照ax + by + cz = d的顺序写) 。 现在我们可以把这些数值做成小表格 , 称为矩阵 。
特别声明:本站内容均来自网友提供或互联网,仅供参考,请勿用于商业和其他非法用途。如果侵犯了您的权益请与我们联系,我们将在24小时内删除。
